钱柜qg777集团

激光百科

搜集、整理和发布激光行业技术和应用的文章及成果,是激光行业的百科全书
激光扩束镜的作用原理及应用
钱柜qg777集团 2021-02-07 4159

在复杂的激光光学系统中,光学元件扮演着重要的角色,例如激光扩束镜。激光扩束镜的作用就是通过扩束、降低光束发散角,最终减小聚焦光斑直径。

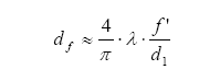
在激光打标或激光切割中,越小的光斑就可以获得更高的能量密度。激光的光斑束腰1/e2,是这样计算的。

在公式中很容易看到,光束的直径d1如果越大,光斑的尺寸就越小。而激光扩束镜就是要完成将光束直径变大。

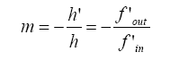
与望远镜一样,激光扩束镜是无焦点光学系统Afocal Optical System。激光扩束镜有两个子元件组成,分别是入射元件和出射元件。经过装配后,两个元件的焦点重合在一起,也就是F in 和F out焦点重合。

激光扩束镜的放大率M是两个焦距的比值。

从而可以知道,激光发散角的倍率减小为:

激光扩束镜的基本类型:

激光扩束镜主要有两种形式或类型。

两个正透镜组成的开普勒形式,一个负透镜和一个正透镜组成的伽利略形式。

钱柜qg777提供了广泛的激光扩束镜系统。扩束镜是能够改变激光光束直径和发散角的透镜组件。从激光器发出的激光束具有一定的发散角,对于激光加工来说,只有通过扩束镜的调节使激光光束变为准直(平行)光束,才能利用聚焦镜获得细小的高功率密度光斑;在激光测距中,必须通过扩束镜最大限度地改善激光的准直度才能得到理想的远距离测量效果;通过扩束镜能改变光束直径以便用于不同的光学仪器设备;扩束镜配合空间滤光片使用则可以使非对称光束分布变为对称分布,并使光能量分布更加均匀。

最通用的扩束镜起源于伽利略望远镜,通常包括一个输入负透镜和一个输出正透镜。输入镜将一个虚焦点光束传送给输出镜,两个透镜是虚共焦结构。一般小于20倍的扩束镜都用该原理制造,因为它简单、体积小、价格也低。尽可能的该扩束镜设计成小的球面相差、低的波前变形和消色差。它的局限性在于不能容纳空间滤波或者进行大倍率的扩束。

我公司生产和代理的扩束镜主要有三种: CO2 激光扩束镜 (10.6mm)、Nd:YAG激光扩束镜 (1064nm、532和355nm) 和HeNe激光扩束准直镜(633nm)。根据客户需要,也可以供应其它波长的扩束镜。

分享: